To find out, we did our own WATER RATE STUDY for our household, for the initial twelve-month period with the new rate structure, focusing on Monthly vs. Quarterly.
In October 2023, four changes (creating a formula) affecting water rates occurred simultaneously:
1. Base rate increased from $39.50 to $47.56.
2. Allotment was reduced from 12 units or 12,000 gallons per quarter to 2 units or 2,000 gallons per month.
3. Tiered rate structure was implemented.
4. Meters were read “monthly” and customers were billed monthly for water service.
(Two different changes but used together in the formula).
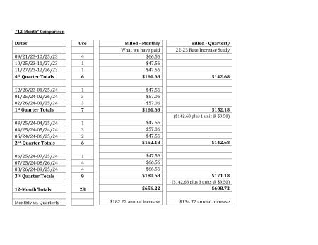
After the initial three months (a “quarter” period from 9/21/23 to 12/26/2023) with the new “monthly” reading and billing schedule, it became evident that a simple change from quarterly to monthly would variably result in higher fees.
We have read City literature making the argument that billing cycles would not affect our total annual water bill. This would only be true for households never exceeding 2 units or 2,000 gallons per month.
Billing cycles can and do affect rates unpredictably depending on other factors built into the rate structure. In fact, as a direct result of “monthly” reading and billing, our household was assessed additional fees totaling $47.50, for the same amount of water use (28 units) for the same period of time (a duration of “twelve months” from 9/21/23 to 9/25/24).
Please see our “12-Month” Comparison demonstrating that this subtle change clearly increased the amount of our household’s total annual water bill.
Raising rates is necessary. All of us can agree. The increase in the base rate of $8.06 per month, the reduced allotment to 2 units or 2,000 gallons per month, and the tiered rate structure are (singly) all fairly straight forward.
However, changing the reading and billing schedule from quarterly to monthly subtly influences the outcome with the new water rate formula. There are two variables (allotments and tiered rates) which contribute to playing a role in determining different costs or outcomes based on reading and billing cycles, i.e., monthly vs. quarterly.
We recently read another argument the City was making for paying monthly – “it is a smaller amount.”
Quarterly billing doesn’t prevent anyone from making a payment monthly if they prefer to have a “smaller” amount. It does prevent us from having the flexibility to use more water one month (for example: during a heat wave) and possibly skimping for the other two months to meet the quarterly
allotment of 6 units or 6,000 gallons.
This is not a campaign. We are not trying to influence anyone’s vote. We respect our City Leaders and all of our Concerned Citizens. We recently shared our perspective with a few of our friends who expressed that this was a different point of view, one many hadn’t thought of.
They all encouraged us to share our thoughts with the community. In an attempt at creating better understanding of how this new formula works, we encourage everyone to do their own “12-Month” comparison.
Manzanita Citizens
